会员中心
我的收藏
购物车(
0
)
手机逛51买JP
Android版
免费注册
登录
51买JP欢迎您
购物车
我的优惠券
我的收藏
返回顶部
搜索
中古名表
中古奢侈品
LV中古包
手办模型
二手镜头
皮草
Yahoo!商品分类
中古名表
>
品牌手表
>
迪奥
欧米伽
万国
爱马仕
华生
双狮
劳力士
浪琴
雷达
梭曼
卡西欧
卡地亚
古驰
昆仑
精工
积家
西铁城
真力时
香奈儿
百年灵
宝格丽
芬迪
伯爵
名士
男士手表
>
电子表
石英表
手动上链
自动上链
女士手表
>
SWATCH
石英表
手动上链
座钟,挂钟
>
挂钟
桌上型时钟
怀表
>
机械式
石英
中古名包
>
品牌包包
>
路易威登
香奈儿
赛琳
古驰
爱马仕
芬迪
迪奥
菲拉格慕
女包
>
皮质手提袋
皮质斜肩包
手提袋
斜肩包
晚宴包
后背包
大手提包
小收纳包
波士顿包
男包
>
手提袋
斜肩包
隨身包
后背包
文件包
側肩背包
波士頓包
服饰
>
时尚女装
>
路易威登
香奈儿
纪梵希
赛琳
古驰
爱马仕
芬迪
普拉达
迪奥
川久保玲
博柏利
高桥盾
阿玛尼
雅格狮丹
范思哲
维维安
华伦天奴
MH
迈克科尔斯
马克·雅可布
圣罗兰
三宅一生
耐克
皮草
大衣
外套,罩衫
女性和服
时尚男装
>
路易威登
纪梵希
Supreme
古驰
爱马仕
普拉达
迪奥
川久保玲
博柏利
高桥盾
阿玛尼
雅格狮丹
范思哲
维维安
罗意威
拉夫劳伦
杜嘉班纳
维斯维木
KAPITAL
李维斯
外套,罩衫
大衣
西裝
男子和服
服饰配件
>
路易威登
香奈儿
赛琳
古驰
芬迪
普拉达
宝格丽
迪奥
菲拉格慕
川久保玲
蔻驰
博柏利
范思哲
维维安
三宅一生
卡地亚
杜嘉班纳
鞋靴
>
路易威登
香奈儿
古驰
爱马仕
普拉达
迪奥
菲拉格慕
川久保玲
蔻驰
高桥盾
维斯维木
男鞋
女鞋
儿童服饰
>
品牌
婴儿服,孕妇装
女孩
男孩
孩子用时尚小物品
珠宝饰品
>
女性饰品
>
项链,耳坠
手环,手链
坠饰
耳环
戒指
裸石
男士饰品
>
手环,手链
袖扣
领带夹
项链
坠饰
戒指
品牌首饰
>
香奈儿
蒂芙尼
迪奥
卡地亚
萧邦
宝格丽
Bloody Mary
嘉步
御木本
克罗心
薇薇安
田崎真珠
紀梵希
古驰
工艺品收藏
>
爱好、文化
>
端溪砚
文镇
砚
古墨
毛笔
砚台盒
美术品
文玩/手串
货币
陶瓷器
>
古董陶磁器紫砂
中国瓷器
明
宋
高麗
唐
元
李朝
漆器
青花瓷
日本陶瓷器
>
常滑
陶瓷器
备前
京烧
伊万里,有田
九谷
萩
薩摩
美浓
濑户
万古
信乐
字画
>
挂轴
匾额,框
扇面
水墨画
雕刻
>
东方雕刻
雕刻题材
金属工艺品
>
日本铁壶
釜
五德
铜花器
铜佛像
铜镜子
银置物
银餐具
银酒器
银装饰品
锡制
邮票
>
亚洲
其他
钱币
>
亞洲
歐洲
北美洲
相机镜头
>
镜头
>
单镜头相机(自动对焦)
单镜头相机(手动对焦)
大画幅,中画幅相机
其他
配件
>
暗室相关用品
三脚架,独脚架
闪光灯,照明
过滤器
箱包
曝光计
其他
胶片相机
>
大型,中型
单反相机
观景窗
消費型相机
雙眼相機
8厘米
宝丽来
数码相机
>
数码单反相机
一般数码相机
手办玩具
>
卡片游戏
>
游戏王
火影忍者
假面骑士
三国志大战
七龙珠
勇者斗恶龙
战斗之魂
玩具积木
>
LEGO乐高
漫画、动画
>
机器人英雄
海贼王
高达
龙珠
圣斗士星矢
新世纪福音战士
Fate
火影忍者
我的妹妹哪有这么可爱
铁人28号
BLEACH
铁臂阿童木
幸运星
初音未来
其他
特摄模型
>
假面骑士
奥特曼
战队系列
哥吉拉
怪物猎人
数码宝贝
Sonico
其他
车模型
>
车辆
摩托车
飞机
坦克,军车
铁路模型
人偶娃娃
>
人物公仔
换装娃娃
Superdollfie
游戏设备
>
电视游戏
圍棋
卡片游戏
复古玩具
>
铁皮
交通工具
电动装置
高温合金
日本铁壶茶具
>
铁壶
>
梦工房
金龍堂
藏六
湯沸
龟文堂
龙文堂
南部铁器
金寿堂
长文堂
三严堂
光玉堂
正寿堂
祥云堂
盛久
茶具
>
急須
源氏庵
建水
日本银壶
茶托
茶台
茶量
茶碗
茶罐
银制
>
日本银壶
酒类
>
红酒
>
红酒
钓鱼、运动、休闲
>
渔具
>
钓竿
渔轮
鱼浮
鱼钩
鱼线
救生衣
鱼竿支架
鱼群探测器
香鱼用品
鲁尔用品
钓鱼箱
露营、户外用品
>
背包,挎包
炊具
灯、彩灯
导航
帐篷,篷布
休闲表
餐具
冷却器,冷藏设备
体育用品
>
高尔夫
乒乓球
羽毛球
足球
纪念品
家电、AV
>
家电、AV
>
电子元器件
其它设备
>
摄像机
望远镜
双筒望远镜
显微镜
乐器、器材
>
管乐器
>
萨克斯
號角
横笛
直笛
弦乐器
>
吉他
大提琴
小提琴
曼陀林
古典
打击乐器
>
鼓
键盘乐器
>
手风琴
家居、室内装饰
>
厨房,餐具
>
餐具
玻璃杯
品牌餐具
日式餐具
西洋餐具
中华餐具
炊具
製菓器具
工具/DIY用品
>
业务用建筑材料
電器材料
厨房、饭桌
>
微波炉
烤箱
电饭煲
电热壶
PayPay
中古名包
中古名表
相机镜头
签到
当前位置:
首页
>
美术品
>
字画,绘画
>
爱好、文化
>
日本画
>
山水画,风月画
>
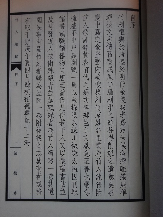
Rarebookkyoto 竹人續録 佛作舟 金之駿 余仲嘉
收藏该商品
X
Rarebookkyoto 竹人續録 佛作舟 金之駿 余仲嘉
收藏该商品
Rarebookkyoto 竹人續録 佛作舟 金之駿 余仲嘉
商品编号:h1202925119
【浏览原始网页】
当前价:
RMB
126
加价单位:
100
日元
享受返利:
0
円
查看返利规则
日 元:
2500.00
円
消费税:
10%
什么是消费税?
商品消费税由日本政府收取的,YAHOO店铺出品的拍卖商品,需要您支付消费税(一般为商品得标金额的10%),个人卖家无需支付消费税。
出价:
0
次
立即参拍
预约出价
出一个自己所能接受的最高价,系统会在商品竞拍结束前5分钟帮您出价;若取消预约出价,请在距离结束前30分钟以上进入会员中心删除
账户升级,享受无限制出价! 《会员制说明》
商品件数:1
商品成色:其他
日本邮费:买家承担
可否退货:不可以
开始时间:2025-10-12 22:28:42
结束时间:2025-10-15 22:28:42
自动延长:有可能
提早结束:有可能
商品详情
参考翻译
下标记录
新手必读
划词翻译上线,鼠标选择文字自动翻译,翻译内容仅供参考,如有疑问请咨询小觅翻译。
Rarebookkyoto
のことは京都のネットのみ、うぶだし古本屋です。
ヤフオク検索すれば毎日いろんなジャンル新しい発見ができます。
常に魅力的なアイテムを出品できるよう日々買取や仕入れに力をれております。
順次出品させて頂きますので、併せてお楽しみ頂けましたら幸いです。
写真にあるものがすべてとなります。
商品状態については写真でご判断下さい。出品する前に鑑定機関にもかけておらず、落款や作風二従って、タイトルに作家名などを付けています。古いものばかりですが、安い値で提供致します。
真筆保障しないですが、(折れ・シミ・傷み・その他)は画像でよくご確認の上ご入札ください。足りない情報については遠慮なくご連絡ください。写真追加等可能です。
落札後のメッセージ、メール連絡に対して、
3
日以内にご返信いただけない場合もしくは、連絡後
1
週間以内のご入金がない場合は、どちらもキャンセル扱いとさせていただきます。
〈日本全国一律運送料金案内〉
1
、小・中型本 レターパックプラス
500
円
2
、掛け軸
800
円
3
、額
1500
円
4
、
10
万円以上購入の方 送料無料
・入金確認後、営業日
5
~
7
日後に発送
・早期終了について
当社は早期終了・即決などの対応はしておりません。
また値下げ交渉なども対応しておりません。
・返品について
商品到着より
1
週間以内、かつ不備のある商品に関してのみ返品が可能です。
代金の返金は返品していただいてからとなっております。
一部返金等はお断りさせていただいております。
お客様都合の返品は基本的に受け付けておりません。
お客様都合の返金の際は、落札時に発生するヤフオクロイヤリティ料・梱包代・事務手数料として
3
割頂戴し、
7
割を返金させていただきますので、ご了承ください。
入札条件
・領収書等の発行はできます。ご連絡の際、ご指示ください。
・かんたん決済が利用可能な方のみ。
こちらのシステム上、個人情報保護の理念からも直接の入金は一切お受けできません。
・”受取完了連絡“までがお取引です。
最後まで責任を持てます方のみのお取引とさせていただきます。
守れない方は相応の評価をさせて頂きます。
・店舗等で商品の直接のお受渡しは致しません。
・土・日・祝日は営業しておりませんので、ご了承ください。
・当社は電話対応しておりませんので、連絡等はすべてメッセージ・連絡掲示板をお使い頂くようよろしくお願い致します。
その他、ご要望ございましたら、遠慮なくご相談ください。
管理番号:X855
有道翻译
有道翻译
┈┈┈┈┈┈┈┈┈┈┈┈┈┈┈┈┈┈┈┈┈┈┈┈┈┈┈┈┈┈
下载有道词典
获取人工翻译
正在加载数据,请稍后……
点击查看,竞拍常见问题 >
竞拍怎么拍?
商品到手价?
关税怎么收?
正品保证?
保证金?怎么升级?
竞拍流程
竞拍自动延长
邮寄到日本
操作合单
到货周期
无法获取短信验证码
国际运费表
竞拍流程
禁运明细
卖家信息
温馨提示:
雅虎账号:
丸孫商店株式会社
评价:
1679
11
店铺卖家:
是
发货地:
京都府 京都市中京区
查看卖家信誉图解
进入店铺
收藏店铺
51买JP提醒
常见问题
推荐分类:
体育比赛门票
剪报
一般商务软件
其他
国文学研究
巧连环
桌子,椅子
车内收纳,支架
髮簪
手提袋
雾化器;喷雾器
鹅掌树
出价竞拍
本 品 现 价:
2500.00
日元(RMB
125.50
元)
本次加价至少为:
100
日元
出 价 金 额:
日元
出 价 件 数:
1
折合人民币:
0元
温馨提示:
本品商家好评为1679,差评为11,供参考使用,出价成功后不能弃标,弃标要扣除弃标费用。
预约出价
本 品 现 价:
2500.00
日元(RMB
125.50
元)
本次加价至少为:
100
日元
为避免被人恶意抬价,您出的价格会在结束前十五分钟由系统进行出价,也为您节省了宝贵的时间
出 价 金 额:
日元
出 价 件 数:
1
折合人民币:
0元
温馨提示:
本品商家好评为1679,差评为11,供参考使用,出价成功后不能弃标,弃标要扣除弃标费用。
直接购买
本次直接购买价为:
0
日元(RMB
0
元)
直购价:
日元
出价件数:
1
温馨提示:
本品商家好评为1679,差评为11,供参考使用,出价成功后不能弃标,弃标要扣除弃标费用。
会员等级说明
查看详细>>
您需要升级保证金后方可出价竞拍
会员等级
V1普通会员
V2黄金会员
V3白金会员
V4铂金会员
V5钻石会员
保证金
0RMB
100RMB
500RMB
1000RMB
5000RMB
可投标件数
0件
3件
5件
8件
无限制
单次金额限制
0日元
≤30,000日元
≤100,000日元
≤1,000,000日元
无限制
出价账号
无法竞拍
普通账号
普通账号
优等账号
优等账号
关闭
前去升级保证金
51买JP学堂
竞拍流程
常见问题
费用明细
帮助中心
服务保障
服务申明
用户保障
物流配送
通关关税
禁运明细
国际运费
费用明细
关于我们
关于51买JP
企业文化
联系我们
隐私声明
商务合作